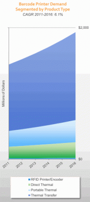
熱転写バーコードプリンタ
ダイレクトサーマルバーコードプリンタ
ポータブル熱転写パーコードプリンタ
RFIDプリンタ/エンコーダ
VDCリサーチグループ社『世界のバーコード市場調査 2012年』シリーズのレポート一覧
http://www.dri.co.jp/auto/report/vdc/index.html?cid=705
◆詳細はデータリソースウェブページをご覧ください。
http://www.dri.co.jp/auto/report/vdc/article.php?id=6648
◆市場調査会社VDCリサーチグループ社 (VDC Research Group, Inc. )について
http://www.dri.co.jp/auto/report/vdc/index.html
株式会社データリソースは、VDCリサーチグループ社の日本販売代理店です。
調査レポートの販売、委託調査などを行っています。
◆このプレスリリースに関するお問合せ
http://www.dri.co.jp/contact/inquiry.php
日本販売代理店
株式会社データリソース
107-0052 東京都港区赤坂1-14-5
アークヒルズエグゼクティブタワーN313
Tel:03-3582-2531 Fax:03-3582-2861
http://www.dri.co.jp
Eメール:office@dri.co.jp
データリソースメールマガジンバックナンバー
http://www.dri.co.jp/mm/index.html
メールマガジンのお申し込み
http://www.dri.co.jp/contact/free_appl.php
http://www.dri.co.jp/contact/inquiry.php
日本販売代理店
株式会社データリソース
107-0052 東京都港区赤坂1-14-5
アークヒルズエグゼクティブタワーN313
Tel:03-3582-2531 Fax:03-3582-2861
http://www.dri.co.jp
Eメール:office@dri.co.jp
データリソースメールマガジンバックナンバー
http://www.dri.co.jp/mm/index.html
メールマガジンのお申し込み
http://www.dri.co.jp/contact/free_appl.php



